Wenn Kolleginnen und Kollegen fragen „Wozu brauche ich ein CAS im Mathematikunterricht?“, entgegne ich: „Wie kann man in der Schule sinnvoll Mathematik betreiben?“
Die Entscheidung ‚CAS ja oder nein?‘ ist dann nachgeordnet. Computeralgebrasysteme (CAS) sind ein Hilfsmittel oder Werkzeug, um effizient Mathematik zu betreiben – genau wie der klassische Taschenrechner oder die Formelsammlung. Mit diesem Werkzeug lassen sich einige Probleme lösen, die ansonsten nur mit viel Aufwand und erheblichen zeitlichen Ressourcen gelöst werden könnten.
Effizient mit CAS
Ein gutes Beispiel ist die Polynomdivision: Sie lässt sich am CAS einfach durchführen – sie ist ja auch nie Ziel irgendeiner Aufgabe, sondern immer nur Mittel zum Zweck. Wenn Schülerinnen und Schüler den anspruchsvollen Algorithmus lernen müssen, ist das mit großem Aufwand verbunden.
Weitere Beispiele sind das Gauss-Verfahren und die Bestimmung von Stammfunktionen. Natürlich muss das Gauss-Verfahren beherrscht werden, keine Frage. Und auch einfache Funktionen müssen integriert werden können. Aber vermutlich hat sich jeder von uns bei den größeren Matrizen schon einmal verrechnet und eine Stammfunktion im Bronstein nachgeschlagen – obwohl wir die Prinzipen gut verstanden haben.
Die Mathematik dahinter verstehen
CAS-Gegner betonen immer wieder, dass es ja nur Knöpfchendrücken sei und schwupps, da ist die Lösung. Ein CAS ist aber eben mehr. Wenn es sinnvoll eingesetzt wird, kann es die Mathematik „dahinter“ verständlich machen, Entdeckungen ermöglichen und zu neuen Fragen führen. Es nimmt außerdem einem der für viele Nicht-Mathematiker wohl unerfreulichsten Aspekte – dem Ausführen von Kochrezepten – die scharfe Kante und öffnet eine neue Welt der Möglichkeiten, reale Probleme angemessen zu modellieren.
Wir wollen hier einige Beispiele kurz anreißen:
1-Parallele Verfügbarkeit von Termen, Graphen und Tabellen
Der Wechsel zwischen verschiedenen Darstellungen einer Funktion ist mit dem CAS besonders einfach und für beliebige Funktionen verfügbar.
2-Symbolisches Arbeiten
Das Arbeiten mit CAS erfordert zwar weniger Termumformungskompetenzen, dafür mehr Fähigkeiten im Erfassen von Termstrukturen und Gesetzmäßigkeiten – sozusagen den Wald in den Bäumen erkennen.
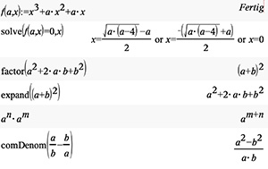
3-Lösung ganzer Problemklassen unter Nutzung miteinander verbundener Applikationen
Für jede „Steckbriefaufgabe“ alles neu aufschreiben – das kann man sich sparen, wenn man wie hier z. B. verschiedene Applikationen des CAS sinnvoll miteinander verknüpft. Was übrigbleibt ist die Struktur der Steckbriefaufgabe, die Mathematik. Die zahlreichen Algorithmen (Ableiten, Lösen eines 4x4 Gleichungssystems) werden vom CAS übernommen.
4-Sinnvoller Umgang mit Termumformungen
Das CAS formt Terme „automatisch“ um. Manchmal ist das hilfreich, manchmal nicht. Aber man kann sich dies zu Nutze machen und Schüler die Umformungen erläutern lassen, damit kommt man auch der Aufforderungen nach gewissen händischen Termumformungskompetenzen nach.
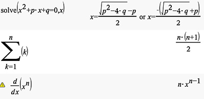
5-Sinnvoller Umgang mit Grenzwerten
Wer kennt dies nicht? Das linke Bild könnte man natürlich auch ohne CAS mit Schülern erarbeiten. Aber das rechte Bild? Und das kann man ja auch fortsetzen...
6-Exaktes Arbeiten
Ein graphischer Taschenrechner (GTR) arbeitet nur mit rationalen Näherungswerten, das CAS ist in der Lage, exakt zu arbeiten und hilft Fehler zu vermeiden (links CAS, rechts GTR).
Auch in den aktuellen Hinweisen des IQB zur Verwendung von Hilfsmitteln im Abitur (ab 2029) ist der Einsatz eines CAS/MMS vorgesehen. Die geforderten Einschränkungen im Prüfungsmodus betonen den gezielten Einsatz der CAS-Funktionalität. Knöpfchendrücken allein reicht nicht!
Unterrichtsmaterialien
Dr. Hubert Langlotz und Sebastian Rauh sind Autoren zahlreicher T³ Unterrichtsmaterialien.
Zum Einstieg von CAS in Klasse 8 empfehlen sie:
„Der TI-Nspire™ CX II-T CAS im Mathematikunterricht der Klasse 8“ in Anlehnung an den Lehrplan des Bundeslandes Niedersachsen und Sachsen
Mehr praxisorientierte Aufgabenbeispiele zum Einsatz von (TI-Nspire™ CX) CAS im Unterricht finden Sie auf der Materialdatenbank zum – größtenteils kostenlosen – Download.
